牛顿的十大科学发现
牛顿堪称寰宇中最为杰出的学者之一,其贡献不仅涵盖经典力学、微积分及万有引力,更包含诸多其他闻名遐迩的创见,我们不妨一同探视一番。
牛顿的十大发现
万有引力

万有引力定律,也称作万有引力,是物体相互作用的基本规则。这一规律由牛顿于1687年发现,是17世纪自然科学最杰出的成果之一。它将地面物体的运行模式和天体的运行模式整合在一起,对物理学和天文学未来的进步产生了重要影响。它首次阐明了自然界相互作用的基本法则,在人类探索自然的历史上确立了重要地位。
牛顿力学

牛顿在17世纪确立了牛顿力学kaiyun.ccm,这属于经典力学的范畴,其研究主体是粒子,核心在于探讨力的相互作用。当面对粒子系统这类问题时kaiyun全站网页版登录,该理论主张单独分析每个粒子所受的力,进而推算出整个系统的运动状况。在17世纪,牛顿成功将天体力学与地球力学融合,由此构建了完整的经典力学体系。经典力学体系的构建标志着人类对自然和历史认知实现了首次重大突破和系统整合。这一理论深刻推动了科学进步,并对人类的生产活动、日常生活以及思维模式产生了深远影响。
微积分

17世纪末期,英国的牛顿与德国的莱布尼兹,综合了前人长达数百年的研究,成功建立了微积分学科体系。微积分属于数学的核心分支,其内容涵盖了函数理论、极限理论、微分方法、积分方法以及实际应用。函数是微积分分析的主要对象,极限是微积分的基础概念,而微分和积分则分别代表两种特定的极限过程和表现形式。当代各项科学技术,包括机械制造、土木建设、建筑工程、航空航天、航海技术以及各类工业工程,几乎都依赖微积分作为核心的数学手段。
牛顿冷却定律

牛顿冷却定律属于传热学中的核心法则,该定律由牛顿在1701年经由实验研究得出,主要应用于估算对流散热情况。该定律阐述了一种现象,即当物体温度超出其周边环境时,热量会向周围介质转移,导致物体逐步降温。具体而言,当物体表面和环境存在温度差异时,每单位时间内每单位面积的热量散失量,会与温差值成正比关系,这个比例常数被称作热传递系数。在实施强制通风时,牛顿冷却定律和现实状况高度一致,而只有在自然通风中温度差异不显著的情况下,该定律才适用。
牛顿迭代法

牛顿迭代法,又称为牛顿-拉斐逊法,也被称作滚动法,由牛顿在17世纪所创,是一种用于求解实数域和复数域内方程近似解的技术。该技术常被应用于计算机编程领域。迭代法指的是持续运用变量先前取值来计算其后新值的过程。这是计算机解决各类问题的核心手段。该方法借助了计算机卓越的运算能力,特别适合执行反复性的任务。它能够使机器反复运行一批操作,每次运行这批操作时,都能根据数据单元的初始数据得出一个新数据。
光的色散

光线分解成单一颜色的现象称为色散,具体表现为复色光经过棱镜时分离成不同颜色的单色光,或者由于光源光谱中不同波长光速差异导致光脉冲变宽。这种现象揭示了光线传播特性与波长之间的联系,棱镜使复色光分解的现象也说明了传播参数和波长之间的关联。
金本位制

金本位就是金本位制度。金本位是一种以黄金作为货币基础的体系。在这种体系里,货币的每一单位价值都参照黄金的特定重量来衡量。当多个国家都采用金本位时,它们之间的货币兑换比率,是由各个国家货币含有的黄金量以及黄金市场的平均价格这两个因素之间的比例所决定的。世界上最早采用金币作为标准货币制度的国家是英国。十七一七年,那位享有盛誉的物理学家艾萨克·牛顿,在执掌英国造币厂期间,把黄金的标价确定为每盎司三磅十七先令又十点五便士。
牛顿望远镜

牛顿望远镜由英国天文学家艾萨克·牛顿设计而成,属于反射式光学仪器。它通过弯曲的镜面将光线导向中心点,实现成像。该望远镜的核心部件是一块抛物面镜,配合一块平面副镜使用。这种构造方式,在放大倍数方面远超采用透镜的望远镜。目前,全球范围内的大型望远镜多数采用反射原理,而牛顿望远镜的开创性工作,为反射式望远镜的进步奠定了基础。
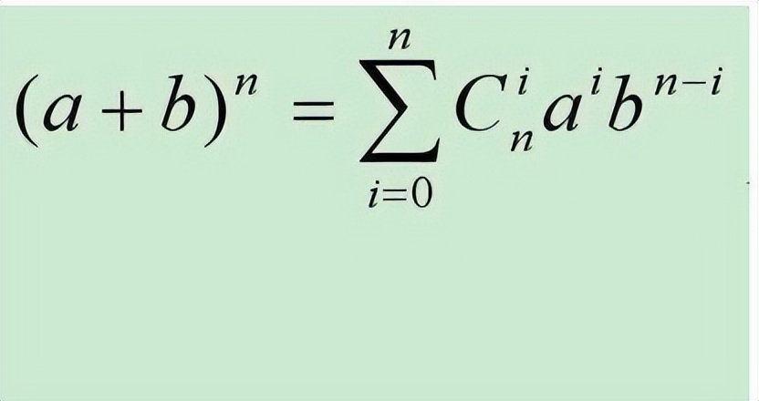
二项式定理

二项式定理,又称为牛顿二项式定理,由艾萨克·牛顿在1664年和1665年所发现。这个定理能够推算出自我繁衍后代的基因构成和可能性,能够推算出自我繁衍后代的性状表现和可能性,能够推算出杂交后代的性状分布和可能性kaiyun全站登录网页入口,能够通过测验杂交分析杂合体自我繁衍后代的性状表现和可能性,能够推算出夫妻生育后代的性别分布和可能性,能够推算出稳定群体的基因构成或基因构成比率等。
牛顿流体

当流体的剪切应力与其剪切变形率呈现线性关系时,该流体即为牛顿流体,这类流体在自然界中广泛存在。典型的牛顿流体运动形式,指的是粘性流体在两块无限大平板间发生的相对速度为U的平行移动,这种情形下流体产生的低流速稳态剪切运动,也称作库特流。许多单一液体,例如水与酒精、各类轻质油品、低分子量物质构成的液体以及缓慢移动的气体,均属于牛顿流体;而高分子量聚合物形成的浓稠液体或含有固体颗粒的混合物,则大多表现出非牛顿流体的特性。