既能低频通信、又能高效传输无线电能的新技术!适用于海洋等领域
无线电能同步传输与信息通讯技术能够将电力从发射源头传递到负载接收点,并且确保数据通信的同步进行,这种技术在无线能量传输加密、嵌入式医疗设备以及物联网传感器的电力供应等方面展现出巨大的应用潜力。

研究背景
依据无线通信的执行手段,近场耦合无线电能和信息同步传输技术主要可划分为“信号注入调制法”、“独立耦合路径法”以及“能量调制法”三大类别。在诸如地面太阳能能量传输、海洋等高导电性含水量丰富的介质等特定应用场景中,采用低能量高频载波进行通信的可靠性相对较低,而能量调制法的可靠性则相对较高。
论文所解决的问题及意义
本研究通过分析系统发射线圈在多种频率激励下的电流表现,创新性地提出了一种新型的无线电能与信息同步传输技术,该技术采用移相调制方式。在通信过程中,技术通过调整逆变器的工作频率,生成低频通信载波,并利用移相角的控制来实现信息的调制。具体而言,基波用于信息的传输,而3次谐波则用于电能的传输。该方法能够在进行低频电磁波通信的过程中,同步实现无线电能的高效传输,特别适用于海洋等电导率较高的介质环境,展现出显著的应用优势。
论文方法及创新点
1)工作在不同频率下时的发射线圈电流特征

图1 不同工作频率发射线圈电流分量构成
在谐振状态下kaiyun官方网站登录入口,高频逆变器(频率为150kHz)工作时,其发射电流主要成分是基波,且该成分的幅度达到最大,如图1(a)所展示;若将工作频率降至fr/3,则会产生基波及更高阶的谐波,其中3次谐波的幅度最为显著,如图1(b)所示;类似地,若进一步降低频率至fr/5,将产生基波、3次谐波以及其他更高阶谐波,此时5次谐波的幅度达到最大,如图1(c)所示。由此可见,通过降频操作,可以在发射线圈中产生低频成分,这些成分适用于通信;与此同时,与系统谐振相匹配的高频成分则可以用来为负载提供电能。
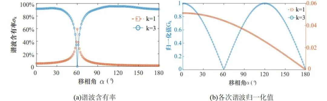
2)移相角对各次谐波的影响分析

图2 移相角α对发射电流中各次谐波的影响
以逆变器运行频率的三分之一fr/3为基准,探讨移相角α对发射电流中基波成分和三次谐波成分的影响。观察可知,当α值增加时,发射电流中的基波成分占比σ1先上升后下降,而三次谐波成分占比σ3则先下降后上升,具体变化情况如图2(a)所示;进一步分析图2(b),我们可以发现,移相角α能够有效调整发射电流中基波和三次谐波的幅度。因此,我们选择基波作为通信的载波,对α的幅度进行调制以实现信息传输较为简便。同时kaiyun全站网页版登录,为确保功率传输的稳定性,α的选取应尽量确保三次谐波的幅值保持恒定。
3)供电与通信之间的串扰分析
接收端同时吸纳了基波及三倍频谐波的能量,这导致供电和通信回路之间产生了某种程度的干扰。据此,我们可以得知,噪声电压的峰值显著低于有效电压的峰值,并且通过恰当地选择信号检测回路的电感参数,可以有效地调整噪声电压。这样,我们就能实现供电与通信之间的弱耦合控制,具体可参考图3和图4。

图3 负载回路

图4 信号检测回路
4)实验验证
构建了实验平台以检验所提出方案的实效性,如图5(a)部分所示;图5(b)部分展示了实验中测得的关键波形,结果显示信息调制对负载电压的影响并不显著,而信号电压的幅值包络则能够被有效检测。另外,即便系统中的相关参数(如输入电压、负载电阻、耦合线圈相对位置)发生变化,系统依然能够维持正常运作,实验数据充分证明了该方案的可行性。

图5 实验平台及实验结果
结论
本研究提出了一种新型的无线电能与信息同步传输技术,该技术基于移相调制原理。通过降低逆变器的工作频率,在发射线圈中成功产生基波分量,将其作为低频通信的载波。同时,通过调整移相角来实现信息的调制与传输。此外,利用3次谐波分量来传输电能。构建的实验平台成功验证了本研究的方案具备实施条件,它不仅支持低频电磁波通信,而且实现了电能的高效传输kaiyun全站app登录入口,在海洋等对电磁波频率较为敏感的环境中展现出显著的优势。
团队介绍
南京邮电大学自动化学院与人工智能学院旗下的赫兹科技实验室,长期以来专注于人工智能、通信及电力电子等跨学科领域的深入研究。他们在无线能量信息协同传输、新能源发电、射频功放包络线跟踪电源、高频磁芯损耗建模等多个技术方向上,均取得了显著的研究成果。进入近年,该团队成功完成了众多国家级、省级及企业级的研究项目。
该论文的作者中,周岩教授担任通讯角色,同时他也是博士生导师、院长助理。此外,周岩教授还身兼IEEE PES智能电网与新技术集成应用分委会的常务理事,以及江苏省智能电网信息工程综合训练中心的主任。
该研究成果刊登于2023年第16期的《电工技术学报》上,论文题目为“基于移相调制的无线供电与信息协同传输技术”。该研究项目受到了国家自然科学基金以及江苏省自然科学基金的资助。