张朝阳求纳维尔斯托克斯方程的特解
为何即便雨滴从高空坠落,其最终速度也相对有限?在常规的物理教学中,学生会被告知,这是因为雨滴在下降过程中,会遭遇一种与速度成正比的空气阻力,这种阻力使得雨滴的最终速度逐渐趋向一个稳定的数值。然而,这种阻力与速度之间的具体联系又是怎样的呢?一百年七十载前,爱尔兰的物理学家斯托克斯对这一问题产生了浓厚的兴趣,进而提出了在小雷诺数情况下,流体阻力与流速成比例关系的斯托克斯定律。那么,斯托克斯当时又是如何进行这一推导的呢?
10月6日下午2点整,《张朝阳的物理课》节目迎来了第二百二十五期的开播。在这期节目中,搜狐的创始人、董事局主席、CEO以及物理学博士张朝阳亲自主持,在搜狐视频的直播间里,他以其独特的教学风格,从流体力学中的基础纳维尔-斯托克斯方程(简称NS方程)入手,逐步演绎并推导出了斯托克斯定律。整个课堂的教学过程持续了近五个小时。

回顾雨滴下落速度的求解
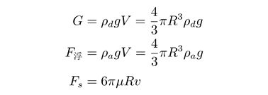
设想存在一个密度为ρ_d的球形水滴,当它从静止状态开始垂直坠落至密度为ρ_a的空气环境中,在此过程中,水滴将承受三种力的作用:一是向下的重力G,二是向上的空气浮力F_{浮},三是向上的空气阻力Fₛ。这种空气阻力遵循斯托克斯定律,具体表述如下:

请注意观察最后那个公式所阐述的空气阻力,这正是斯托克斯定律所提供的公式。在这个公式中,μ代表空气的粘滞系数,R则是雨滴的半径,v表示雨滴相对于空气的移动速度。这三个量的乘积再乘以6π,便可以得到球形物体在不可压缩且流动状态恒定的流体中遭受的阻力。本节课的核心目标,便是从流体力学的基础,即基本的Navier-Stokes方程出发,推导出斯托克斯定律。在深入探讨主题之前,我们先来观察斯托克斯定律在雨滴坠落过程中的具体应用。

(对雨滴的受力分析)
由刚刚分析出的三个力可以写下雨滴的运动方程
为了化简方程,可以将系数用两个字母代替
这样就能把雨滴运动方程化简为
可以猜测这个微分方程的解具有如下形式
代回原方程,得到
再考虑到初始条件,即雨滴在零时刻静止,可以得到
所以
与自由落体速度的线性上升特性不同,当空气阻力被纳入考量时,雨滴的下降速度随着时间趋向无穷大,会逐渐接近一个确定的数值,这个数值即代表雨滴下降的终极速度。
为了更直观地体验空气阻力的实际影响,张朝阳选取了若干具体的数据进行代入计算。

计算得出的雨滴降落速度恰好是10米每秒,这一结果与我们的日常观察高度一致,充分证明了斯托克斯定律在描述空气阻力方面的准确性相当高。
针对仅0.3毫米的细小雨滴,这种计算方法适用,或者说,它更贴近于云层中的水雾现象。在实际情况中kaiyun全站登录网页入口,云层中的水雾会聚集成毫米级的大水珠,并随之降落。在下降过程中,这些水珠会受到空气阻力的影响,并发生形状上的变化。因此,斯托克斯定律并不能准确描述雨滴所受的阻力。实际上,此时起主导作用的阻力是与速度的平方成正比的压降阻力。然而在本节课中,我们更侧重于探讨斯托克斯定律的推导过程;至于斯托克斯定律在雨滴下落问题中的应用,我们可以认为,当雨滴的体积较小时,该定律通常能近似地得到验证。
孙昌璞院士在课后善意地纠正了关于斯托克斯力并非普遍影响雨滴空气阻力的观点,对此我们表示衷心的感谢。
寻根问底:从流体力学最基础的NS方程出发
上一节我们探讨了雨滴在遭遇与自身速度成比例的空气阻力时的运动轨迹。那么,为何空气阻力会呈现出与速度的线性关系呢?斯托克斯定律为何在小雨滴在空气中坠落时依然适用?此外,这一定律是否适用于所有流体的阻力情况呢?
带着这份疑惑,张朝阳拉开了本次“马拉松”课程内容的序幕。在空气中,球形雨滴缓缓降落,这一现象展现出以降落方向为基准的旋转对称特性。同时,雨滴本身也呈现出球形的对称性。因此,自然而然地,我们可以考虑将这些拉普拉斯算子在柱坐标系或球坐标系中进行展开。张朝阳决定首先以降落方向作为极轴,构建了一个如所示的具体球坐标系。

(建立球坐标系)
构建起坐标系之后,我们便能够表达空气中各点的性质与坐标之间的函数关系,例如,不同位置处的气压p(r,θ,ϕ)以及流速v(r,θ,ϕ)。物理学家们往往借助场的理论来阐述这种空间分布的特性,例如,气压可视为一个标量场,而流速则代表一个矢量场。通常情况下,场函数还会包含时间坐标t,然而在本研究中,我们关注的是系统达到稳定状态后的情形,因此,时间坐标t可以被省略。
在流体力学领域,压强场与速度场的作用,可以类比为质点力学中力与速度的关系。在上一节课中,我们曾将雨滴视为一个质点,并依据牛顿第二定律推导出了其运动方程。而本节课,我们将探讨的是,当空气作为一种具有黏性的流体时,它对在其中进行相对运动的雨滴会产生何种阻力,这种阻力有时亦被称作流体曳力或拖曳力。为了计算空气阻力,我们首先必须确定空气的运动状况,鉴于空气是一种流体,其运动规律可以通过纳维-斯托克斯方程来描述。
牛顿第二定律在流体力学中的具体体现便是NS方程,其左侧与牛顿第二定律中的ma相似,加速度部分不仅包括速度场随时间的变化率,还涉及速度场在空间上的变化率再对时间进行求导的结果;而方程的右侧则与力F相仿,涵盖了由压强梯度引起的正向压力差,以及流体运动中因粘性而产生的粘滞力。
当前条件下,若流体已进入稳定状态,则NS方程左侧的首项,即针对时间变量的偏导数部分,将等于零。此外,方程左侧的次项涉及速度场在空间中的分布变化率,我们可进一步假定,在流体微元沿流线移动的过程中,其速度在空间上的变化率是渐进式的,因此可以近似地认为NS方程左侧的次项也等于零。基于稳态和空间缓变的两个前提假设,NS方程得以被化简为一个线性微分方程。
类比电动力学,巧妙引入涡度
方程左侧为一阶导数,右侧为二阶导数,我们能否将右侧的二阶导数降低为与左侧相同的一阶导数形式?在回顾矢量微积分的相关知识时,可以找到一条相应的公式。
而流体的质量守恒给出
在此提出第三个设想:当流速较低时,空气被视为不可压缩的流体。这一设想在流速低于音速的0.3倍时,一般而言是适用的。在不可压缩的条件下,空气的密度被视为恒定不变,因此,基于质量守恒定律,推导出的速度场将呈现出无散的特性。
将(1)-(3)式联立,得到
等式的右侧依旧呈现出二阶导数的特征,然而,与(1)式相较,这里的nabla算子是以逐个叉乘的方式作用于后续矢量之上;而在(1)式中,则是两个nabla算子通过点乘组合形成拉普拉斯算子作用于速度矢量。对于前者,进行两次求导的过程相对简单,可以轻松拆分;而后者若要拆分,则较为复杂,需先对导数进行一次运算得到二阶张量,随后再求其散度,以实现从一阶矢量到一阶矢量的缩并。受到(4)式的启发,可以定义一个中间变量
涡度,即速度场的旋度,由此,我们可以将(1)式右侧的项也简化为仅含一阶导数的形式。
此处巧妙地运用了涡度场来取代速度场,以此使得NS方程的两侧导数阶数达到一致。此外,在电动力学领域,也存在类似的做法。张朝阳将电动力学的各个量级比作一座三层楼,底层是电势Φ与磁矢势A,中层是电场E与磁场B,顶层则是电荷密度ρ与电流密度j。每往上一层,就需要进行一次求导操作,例如……
对比(5)与(7)这两个案例,我们可以明显发现,在无散的速度场和磁场的情况下,它们的旋度,即涡流和电流密度,均可以作为中介变量,从而简化相关方程。

(类比电动力学的“三层楼”)
在经历了三次假设之后,NS方程被简化成了(6)式,这是一个涉及压强场和涡度场的方程。那么,能否将这两个场进行分离呢?首先,我们注意到,任何矢量场的旋度都是无散的,即
所以对(6)式两边求散度,得到只关于压强场的泊松方程
单独一个(8)式仅提供了压强场的细节,这显然意味着它未能保留涡度场的完整信息。张朝阳用比喻来说明,这好比有两个数字3和4,将它们相乘得到12,然而仅凭12这个结果,是无法还原出3和4的,它同样可能代表2和6。同理,从方程(6)中求出散度得到(8)式,这样的操作会导致信息的丢失,因此还需要从方程(6)中进一步导出涡度场的相关信息。同样地,注意到任意一个标量场的梯度无旋,即
所以对(6)式两边求旋度,得到只关于涡度场的方程
此处重申采用了矢量微积分的公式(2)。此外,涡度定义为速度场的旋度,故其性质为无散。基于此,涡度场同样遵循泊松方程。
灵活切换坐标系,转化涡度场的矢量泊松方程
上一节内容将NS方程化简为两个泊松方程,其一涉及压强标量,对应式(8);其二涉及涡度矢量,对应式(9)。在之前的课程中,我们对于标量形式的泊松方程已有丰富的处理经验,然而,针对矢量形式的泊松方程,我们尚无先例可循。因此,有必要对矢量在拉普拉斯算符作用下的结果进行深入研究。
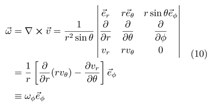
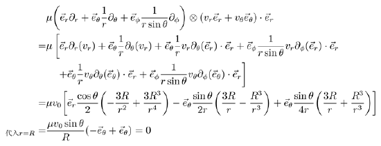
依据流体运动的轴向对称特性,速度矢量理应仅包含径向分量v_r以及极角方向的分量v_θ,不应存在方位角方向的分量v_ϕ。并且,各个方向的速度分量对ϕ的导数均为零。鉴于对速度场轴对称性的理解,我们便能在球坐标系中表达出涡度

显而易见,当流体运动呈现出轴对称特性时,涡度矢量仅包含方位角方向上的分量。因此,公式(9)随之演变成为……
这是一个矢量场的泊松方程。首先,我们需要计算nabla算符第一次作用后的结果。在这个过程中,我们将对被作用的矢量在不同方向上进行求导。然而,值得注意的是,这里对求导方向的基矢和被作用后矢量的基矢进行了张量积运算。这种张量积既不同于点乘,也不同于叉乘,它实际上是将两个基矢直接并置,以此作为二阶张量的基础。在三维空间中,这样的张量积包含了3×3=9个系数和基底。用⊗代表矢量的张量积,可以写成
(12)式中的两项分别对系数和基矢施加了nabla算符,其中第一项在经过nabla算符的点乘操作后,
上式第二项中被大括号标出的部分为0,因为球坐标的散度公式为
基矢\vec{e}_ϕ在特定条件下等同于g_r和g_θ均为0,而g_ϕ为1的矢量,将此矢量代入散度公式后,我们可以得出其结果为0。
在(12)式的第二项中,我们需对矢量进行“梯度”运算,从而得到一个二阶张量;这一过程,若详细展开,可以描述为……
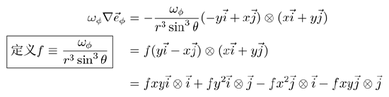
第二个等式引入了一个新的矢量\vec{e}_ρ,该矢量是通过对方位角基矢\vec{e}_ϕ关于角度ϕ进行求导得到的。方位角基矢与距离r和角度θ无关,其变化仅与ϕ有关,且这种变化产生的矢量是指向极轴的,方向向内,这与柱坐标系中的径向矢量相似。

(柱坐标的切面)
为了便于对该二阶张量进行散度运算,我们将其转换至直角坐标系之中,随后将向量\vec{e}_ϕ和\vec{e}_ρ分别用\vec{i}和\vec{j}进行展开表示。
直角坐标系下的坐标和球坐标之间有这样的关系
因此,

或者开yun体育app官网网页登录入口,我们可以更明确地将其表述为一种2×2的矩阵结构(鉴于ω在z方向上没有分量,因此可以将问题简化至xy平面上的处理)。
至此,(12)式的第二项已转化为直角坐标系中的表达,无论是从张量积的角度还是矩阵的角度来观察,它均呈现为二阶张量的特征。这种二阶张量,我们可以用字母F上方加上两个箭头的方式来标识,以此表明其为一个二阶张量。接下来,我们需要对这一二阶张量进行一次散度的计算。

最后一步把第一项又写回到球坐标的形式,第二项则引入了矢量
它源自极轴,指向空间中的特定点,形成一个位矢。f作为一个函数,与ϕ无关,尽管其分子包含ω_ϕ。然而,从(10)式可以观察到,ω_ϕ实际上与ϕ无关。这一切都归因于流速场围绕轴心的旋转对称性。因此,f在xy平面上的分量只能与ρ平行。由此可知,(14)式中括号内的部分等于零。
将(13)式与(14)式的计算结果带入(11)式的矢量泊松方程中,我们能够将基底向量\vec{e}_ϕ提取至拉普拉斯算符之外,进而导出一个仅与系数ω_ϕ相关的泊松方程。
巧借氢原子球谐函数,求解球坐标下的压强场和涡度场
将球坐标系中的泊松方程(8)和涡度系数方程(15)进行表述,同时考虑到ϕ方向上的对称特性,进而可推导出。

压强场的方程式结构相对简便,我们首先需要对其进行求解。在求解过程中,我们假设压强场方程的解可以分解为两个独立的部分,一部分与径向相关,另一部分则与极角的方向性有关。
代入(16.a),得到
上式中的首段仅与f(r)相关联,而次段则仅与g(θ)相关联,因此这两部分均应被视为常数。观察到该方程与《张朝阳的物理课(第一卷)》中提及的氢原子薛定谔方程在形式上极为相似,我们可以参考该书中的方法,将此常数设为角量子数l(l+1)的值。至于径向部分,我们可以将(17)式的首段与末段进行比奈(Binet)变换处理。
令ψ=rf,上式可化简为
此方程组存在两个解集,分别为ψ与r的(l+1)次方形式,以及ψ与r的负l次方形式。
对于极角方向部分,取(17)式的第二部分和第三部分
令x=cos(θ),h(x)=g(θ)
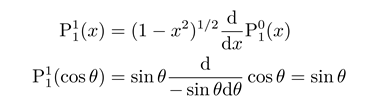
这个方程的解正是勒让德多项式
结合径向和角向的结论,可以写下压强场的通解
剩余任务在于明确展开系数A与B的具体数值。为此,张朝阳首先从量纲分析入手,探究了该系数与哪些物理量存在关联。不难设想,它与流体产生的阻力紧密相关,并且这种关系涉及运动球体的半径R、运动速度v₀以及流体的粘滞系数μ。

一种简单的思路是,我们首先将这些量的指数一相乘,以探明其量纲的属性。
压强的单位与L²的量纲相差一致,故此我们可以放心地推测,(19)式仅含有r的负二次方项。然而,存在一个细节需注意,即R/r这一比值是无量纲的,我们完全可以在公式中额外乘以这个无量纲的比值,以确保量纲的均衡。面对这一不确定性,数学界已经达成共识,即在满足充足边界条件的情形下,微分方程的解将呈现唯一性特征。于是,一旦找到了一个符合边界条件的解,即可推断出已获得了解题的全面答案。
经过这样的量纲分析,不难发现只有l=1的情况才满足假设
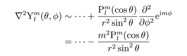
重新审视(16.b)中的涡度场方程,我们可以发现,其径向部分的分析与压强场方程的分析方法相同,但在角向部分,与(18)式相比,多出了一个额外的项。
该额外的第三项恰好对应于球谐函数Y在m等于1的情况下,方位角分量e^(imϕ)经过拉普拉斯算子作用后所生成的那个部分。

由此可以确定,(21)式的解是连带勒让德多项式
所以涡度场的通解为
涡度是速度的散度,它具有量纲
若如压强场般,单纯地假定其中包含R的一次方项与v₀的一次方项,那么我们可以推知(22)式仅包含r的负二次方项,即l的值为1。鉴于

因此
降一层台阶:用斯托克斯流函数代入边界条件
在上一节课中,我们借鉴了之前学习物理课时解氢原子薛定谔方程的技巧,顺利地推导出了压强场(20)和涡度场(23),然而,这两个场函数各自都含有一个未确定的系数,这些系数的确定需要借助边界条件。不过,确定涡度的边界条件却是一项颇具挑战的工作,这是因为根据公式(10),涡度的边界条件与速度的两个分量vr和vθ的导数密切相关。在回顾引入涡度的过程中,最初的目的是为了将(1)式右侧的二阶导数转化为一阶导数,这相当于提升了观察的层次,进而减少了微分的阶数。那么,是否可以再次转换观察角度,将vr和vθ合并为一个新的中间变量,从而便于引入边界条件呢?
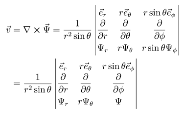
该方案具有可行性。在引入涡度概念的过程中,我们曾将速度场与磁场进行类比,这是因为两者均具备无散的特性。借助(2)式,我们可以将拉普拉斯算子转换成两个散度的连续作用。此外,无散的矢量场还具有另一特性,即它们总能表示为另一矢量场的旋度。这一特性使得我们能够从磁场中定义出一个磁矢势。同样地,我们可以设定一个矢量场\vec{Ψ},其旋度与速度场相等,这样就能将观察角度降低一个层次。

(张朝阳类比电动力学引入斯托克斯流函数)
在球坐标下写开各分量

在常规球坐标系中计算散度的操作中,最终阶段对Ψᵩ进行了重新定义,将rsin(θ)纳入其中,并以Ψ命名,此即为斯托克斯流函数。借助轴对称的特性,我们可以得知速度向量v在ϕ方向上没有分量,并且Ψ函数与ϕ变量无关。因此,
也就是
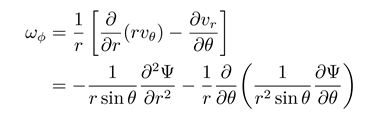
在这一阶段,我们已成功将两个速度分量合并为一个斯托克斯流函数。然后,我们将这个函数代入公式(10)中。

将(23)式代入,便能够实现从涡度场方程向斯托克斯流函数方程的转换。
该偏微分方程相较于(16)式显得更为繁复,直接将其径向与角向部分区分开来颇为棘手。然而,我们可以先假定它是由可分量的变量构成的,进而推测其可能遵循的形态。一个初步的猜测是,
通过代回检验,我们可以轻易地察觉到,这种形式能够极大地便利我们对(25)式中涉及角向部分的幂次进行配平。
由此得到径向部分的方程
这属于一种系数变化的非齐次线性微分方程,通过求解,我们可以确认其通解是由若干个幂函数相加而成的。
代回原式可以定出a=D₁/2。
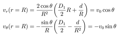
至此,我们终于可以探讨速度的极限情况。针对本问题,我们必须关注两个关键边界条件:首先,在无限远处,流体应不受球形雨滴的作用,因此应保持静止状态;其次,雨滴表面的流体相对于雨滴本身是静止的,这一现象被称为无滑动条件,而在小雷诺数的情况下,这一条件通常成立。将(26)式代入(24)式中,并在无穷远处设定速度值接近于0,从而可以确定b的值为0。此外,还需确保在球面位置上kaiyun全站网页版登录,速度矢量\vec{v}(R)等于初始速度矢量\vec{v}_0,此时r方向和θ方向的速度分量分别对应。

由此可以定出
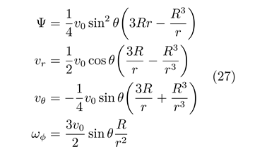
所有的待定系数都已经得到了确定,最终结果是

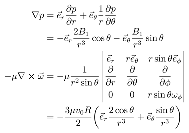
在确定了速度场和涡度场之后,通过边界条件,我们便可以联立公式(6)与公式(20),进而求解压强场中待定系数B₁的具体值。

比较上下两式,可以定出
所以压强场为
自然,环境中应当存在一个基础大气压强p₀作为参照,然而,引入一个常数并不会对压强场的梯度产生显著影响,故在此情境下,大气压可以不予考虑。
计算流体作用在球状物体上的斯托克斯阻力
在本文的开篇部分,我们详细阐述了NS方程的构成,指出方程右侧所表示的流体受力因素,具体包括由压强梯度引起的正向压力差以及由流体粘性引起的粘滞力。同样,雨滴受到的流体作用力亦源于这两个方面,因此,对于流体的应力张量,其表达式可分解为:
球体所受的最终作用力,源自该二阶应力张量与球面法向量\vec{e}ᵣ的点积,这一点积生成的一阶矢量在球面各点累加。因为二阶张量中存在非对角元素,因此,所得之力未必与法向量垂直,而是伴随一定的切向成分。

(应力张量与面法向量的点乘)
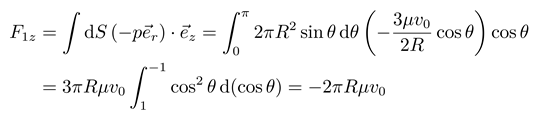
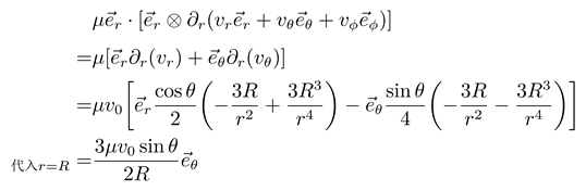
对于(28)式的第一项,将张量基底写开并与球面法向点乘是
依据轴对称原理,球面上的压强积分仅保留了沿极轴z方向的分项,而其他方向的分项则相互抵消,因此只需对压强的z向分项进行积分处理。

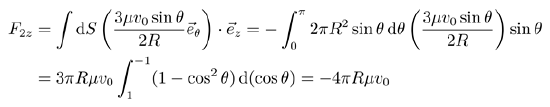
同理,(28)式的第二项与球面法向点乘是

在上式中,当将r值设为R时,r方向上的速度变化率恰好达到最大值,因此不产生粘滞力作用。而在此情况下,只有θ方向上产生了一个切向的压强。对球面上该压强的z分量进行积分。

(28)式的第三项与球面法向点乘是

这表明该项在球面区域不会产生压力效应。此外,第二个等号是基于球坐标系中单位基矢的导数关系进行应用的。
将以上三项加起来,就得到了斯托克斯定律
回顾这堂课的推导历程,尽管我们面对的是流体力学的问题,然而,其中融合了众多学科的知识。例如,我们通过电动力学的矢量微积分引入了涡度、速度以及斯托克斯流函数的“三层楼”概念;同时,我们还借助于量子力学中的球谐函数,成功解出了涡度角向分量的泊松方程。自然地,从历史的角度审视,数学家们在探索流体力学领域时,逐步形成了这些技术手段;随后,在电动力学和量子力学的探索过程中,这些工具得以直接应用。然而,《张朝阳的物理课》的学习路径却与此相反,它首先涉猎电动力学和量子力学,随后再深入探讨通常物理课程中仅略作提及的斯托克斯定律。张朝阳提醒众人,学科进步并不受限于特定领域,只有真正掌握了某个领域的知识,才能在遇到新挑战时,巧妙地运用已有的知识储备。
本节课是对斯托克斯的一种缅怀。斯托克斯在剑桥的教学生涯中,为流体力学领域奠定了坚实的理论基础,而且早在1851年,他就已经提出了我们今天所熟知的斯托克斯定律。他的研究成果对后世产生了广泛而深刻的影响,例如,矢量分析的技术助力麦克斯韦在1865年构建了电磁方程组;密立根通过油滴实验,运用斯托克斯定律测定了油滴的质量;在风洞试验、汽车空气动力学模拟以及机翼设计等多个工程领域,NS方程都扮演了关键角色。NS方程的求解及其解的光滑性问题至今在数学领域备受关注,且在21世纪初被纳入千禧年七大数学难题榜单。尽管如今借助计算机数值方法求解NS方程成为可能,但探寻解析解依然是人们理解物理现象的关键途径之一。
据相关消息,《张朝阳的物理课》节目每周日中午12点在搜狐视频进行现场直播,观众们可以通过搜狐视频APP的“关注流”功能搜索“张朝阳”来观看直播以及往期的全部视频内容;同时,关注“张朝阳的物理课”的官方账号,可以浏览课程中的“知识点”相关短视频;另外,在搜狐新闻APP的“搜狐科技”账号下,也能找到每期物理课程的详细文章资料。
